CIGS 태양 전지의 광 유도 열화
다음은, CIGS 솔라셀의 광노화도( LID; Light Induced Degradation)를 다루고 있는 2024년 9월 15일 자 연구 논문의 일부입니다.
일반적으로 20~30년의 보증 수명을 갖는 태양 광 모듈 의 성능 안정성은 발전량 과 수율에 있어 가장 중요한 요소 중 하나입니다 . 장기간 옥외 성능 연구는 실제 작동 조건을 가장 잘 반영하지만, 일사량과 온도와 같은 요소들의 상호 상관관계로 인해 물리적 해석에 어려움이 있습니다. 실험실 환경에서는 조건을 제어하고 조정할 수 있기 때문에 옥외 실험에서 중첩되는 여러 요인들의 영향을 분리하여 분석할 수 있습니다. 따라서 실험실 연구는 옥외 열화 연구에서 얻은 결과를 해석하는 데 매우 중요합니다.
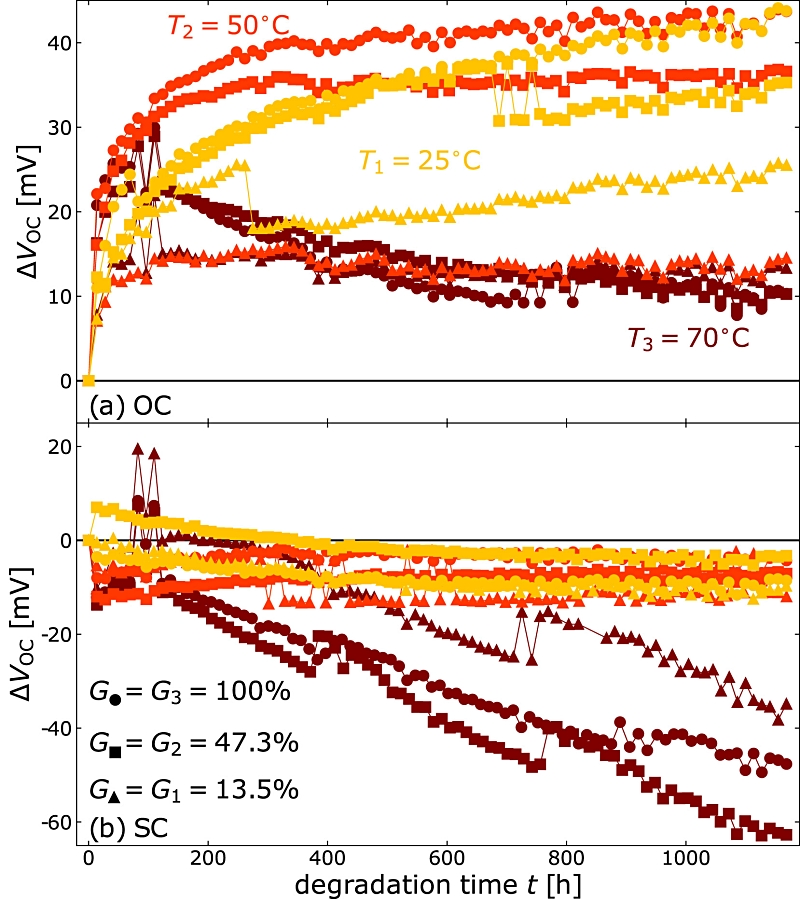
CIGS 모듈의 열화 주요 원인 중 하나는 빛 노출입니다. 기존 문헌에서는 CIGS 모듈 및 태양전지의 광유도 열화 (LID)에 대해 수분에서 수 시간에 이르는 시간 척도에서 분석된 준안정적인 변화에 초점을 맞추고 있습니다. 본 연구에서는 산업적으로 생산된 밀봉형 CIGS 태양전지를 다양한 온도 조건과 강도의 빛에 1000시간 이상 노출시켰습니다. 이를 통해 관찰된 성능 변화가 온도와 광 강도 에 따라 어떻게 변하는지 연구하고자 합니다 . 또한, 단락 회로와 개방 회로에서의 LID를 비교하여 인가 바이어스가 성능 변화에 미치는 영향을 분석합니다. 단락 조건 에서 LID가 다음과 같은 결과를 초래함을 보여줍니다.
온도에 의해 유발되는 성능 저하는 조사 강도와는 무관하게 발생합니다. 개방 회로 상태로 유지된 CIGS 태양전지는 조명 조건에서 안정적인 것으로 나타났습니다. 단일 다이오드 모델을 활용하여, 관찰된 온도에 따른 성능 저하는 성능 저하 이전의 주요 재결합 과정과 비교하여 이상성 인자가 낮아진 재결합 증가와 관련이 있음을 추가적으로 밝혀냈습니다 .
(중략)
구리 인듐 갈륨 디셀레나이드
(CIGS) 태양전지는 현재까지 최고 효율 기록을 달성했습니다. [1] 따라서 CIGS 태양 전지는 기존의 웨이퍼 기반 기술에 비해 경쟁력이 있는 것으로 나타났습니다. 특히 CIGS 태양 전지는 유연하고 가벼운 태양광 (PV) 응용 분야에서 실현 가능성이 높기 때문에 차량 통합형 PV(VIPV) 및 건물 통합형 PV(BIPV) 시장과 같은 통합형 PV 시장 에서 성장 잠재력을 가지고 있습니다 .
(중략)
4.2. Degradation of the SSPs

(중략)
6. 요약 및 전망
본 연구는 산업적으로 생산된 캡슐형 CIGS 태양전지의 온도, 바이어스 및 광도에 따른 광유도 열화 현상을 상세히 분석한 결과이다. 연구 결과, 바이어스 조건이 성능 변화에 매우 중요한 영향을 미치는 것으로 나타났다. 개방회로(OC) 상태로 유지된 전지는 광 조사 조건에서 안정적인 성능을 보이는 반면, 단락회로(SC) 상태로 유지된 전지는 특정 온도 범위 내에서 최대 3%의 절대 효율(표준 조건(STC) 기준) 저하를 보였다.
광 노출에 따른 성능 저하는 LID(광 조사) 중 온도 조건에 따라 달라지는 반면, 조사 강도에는 거의 영향을 받지 않는 것으로 나타났습니다. 또한, 전체 재결합 속도가 증가하는 동시에 이상성 인자가 감소하는 현상이 관찰되었습니다.
이는 증가된 재결합 속도가 이상성 인자 1을 갖는 과정 때문이며, 이는 소자의 준중성 영역에 재결합 중심이 위치함을 시사합니다. 개방 회로(OC)와 단락 회로(SC)에서의 성능 안정성 간의 큰 차이와 CIGS 모듈이 이러한 극단적인 바이어스 조건 사이의 어딘가(최적은 최대 전력점, MPP)에서 동작한다는 점을 고려할 때, 향후 연구에서는 실제 동작 시나리오에 더 가까운 바이어스 조건을 제시하여 이러한 차이를 해소하는 데 집중해야 합니다.
(기타 생략)
요약하자면,
단락 회로 즉, 최대 부하 조건으로 1,170 시간 동안 광 조사할 때 3% 정도 효율 저하가 있었고, 개방 조건에서는 무리가 없었다고 합니다. 이것은 양 극단을 실험한 것이므로, “상시 운용 조건에서는 최대 -3% 미만 값을 갖는다”라고 말해도 무방합니다. 참고로 3% 수준은, 주기적인 태양 패널 청소나 태양추적형 시스템으로 충분히 커버 할 수 있습니다. 즉, 긍정의 조건으로 해석하는 게 좋습니다.
자세한 정보는 다음 문서에 있습니다.
https://www.sciencedirect.com/science/article/pii/S0927024824003489